▲
已將連結複製到剪貼簿
已將連結複製到剪貼簿
網站首頁
關於平台
知識搜索
澎湖文獻資料庫
聯絡我們
馬公市|880
西嶼鄉|881
望安鄉|882
七美鄉|883
白沙鄉|884
湖西鄉|885
史前時代
宋代
元代
明代
荷治時期
明鄭時期
清領時期
日治時期
01|文化
技藝
習俗
飲食
藝文
故事
族譜
諺語
教育
褒歌
02|宗教
寺廟
信仰
祭祀
法師乩童
厭勝物
03|歷史
建築
文物
事件
開拓
人物
考古
04|地理
島礁
聚落
地名
環境
05|交通
海運
空運
陸運
06|產業
農業
漁業
畜牧
製造業
工業
商業
林業
07|治理
選務
戶政
行政
財稅
民生
軍事
遊憩
社福
司法
衛生
08|生態
動物
植物
查詢
知識
颱風
───
相簿─韋恩颱風記錄
複製相簿連結
此頁面為「韋恩颱風記錄」之相簿,您可以在此頁面看到所有關於韋恩颱風記錄的影像(備註:知識相簿是知識平台為了保存澎湖在地影像而設計之功能)
相簿資訊|此相簿影像數為
4
張(共1頁),您目前位於第1頁。
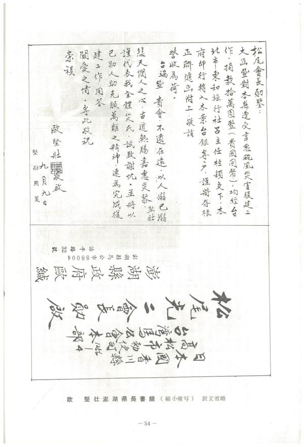
韋恩颱風記錄|
影像來源:日本臺灣馬公會會刊(馬公會誌) 第8期。
韋恩颱風記錄|
影像來源:日本臺灣馬公會會刊(馬公會誌) 第8期。
韋恩颱風記錄|
影像來源:日本臺灣馬公會會刊(馬公會誌) 第8期。
韋恩颱風記錄|
影像來源:日本臺灣馬公會會刊(馬公會誌) 第8期。
查詢
最新知識
近日更新
東衛呂氏宗祠興建經費捐獻芳名錄
|
戒嚴期
|
東衛里
|
碑記
東衛里呂氏宗祠冬至祭祖
|
東衛里
|
冬季祭儀
東衛呂氏宗祠興建記
|
戒嚴期
|
東衛里
|
碑記
清新社勤善堂:日治時代隘門鸞堂的創立
|
明治
|
隘門村
|
鸞堂
友善堂:日治時代龍門港鄉鸞堂的創立
|
明治
|
龍門村
|
鸞堂
龍門村西北甲將軍廟
|
光緒
|
龍門村
|
將軍廟
龍門村西南甲將軍廟
|
光緒
|
龍門村
|
將軍廟
龍門村下寮將軍廟
|
光緒
|
龍門村
|
將軍廟
東坪B遺址
|
宋代
|
東坪村
|
陸上遺址
西安B遺址
|
中社村
|
陸上遺址
高山聖吉匾
|
嘉慶
|
東吉村
|
匾額
東衛呂氏宗祠興建記
|
戒嚴期
|
東衛里
|
碑記
清新社勤善堂:日治時代隘門鸞堂的創立
|
明治
|
隘門村
|
鸞堂
啟明宮
|
東吉村
|
王爺廟
東吉漁港
|
東吉村
|
漁港碼頭
東吉防備衛所
|
昭和
|
東吉村
|
軍事建築
夫人宮
|
東吉村
|
有應廟
港尾陳潤
|
咸豐
|
講美村
|
商賈
清水宮
|
清領時期
|
鐵線里
|
祖師廟
瓦硐村張氏家廟冬至祭祖
|
瓦硐村
|
冬季祭儀
平台知識總數
7,872
則